반응형
안녕하세요 Dibrary입니다.
물리 문제를 풀다보면 서스럼없이 자주 등장하는게 미분방정식이죠.
이 미분방정식을 손으로 계산 해도 되지만, 그저 값을 확인하고자 한다면 코딩으로 구하면 굉장히 편리합니다.
물론, 코딩은 수치적 기법으로 그나마 '근사치'를 내줄 뿐이긴 하지만요.
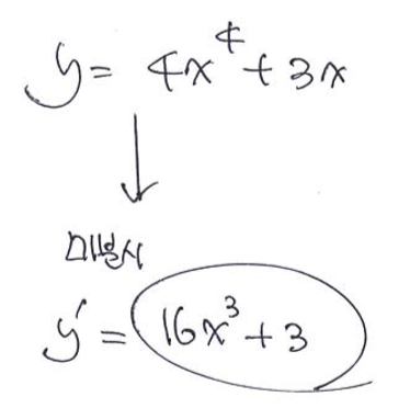
임의 함수에 대해 미분 결과와, 해당 값에 미분 값을 구해보겠습니다.

임의로 위의 함수를 만들었고, 미분결과도 같이 기록해 놓았습니다.
파이썬으로 미분을 할 때는 sympy 모듈의 Derivative를 사용하면 됩니다.

먼저 symbols로 "x"를 설정했습니다. 이는 Derivative에 같이 전달하며, 미분 대상이 x라는 의미입니다.
즉, x에 대한 기울기(도함수)를 구하겠다는 것이죠.
Derivative에는 함수'식'과 symbols를 넣으면 됩니다.
도함수 식 결과인 func는 위에서 제가 직접 구해놓은 식과 같은 것을 볼 수 있습니다.
당연하게도, 미분을 한 번 더 적용하면 2계도함수가 됩니다.
아주 간단하죠? 간단히 물리에서 가속도(a) 혹은 속도(v)를 구할 때 미분후 값 계산을 파이썬으로 해볼 수 있습니다.
728x90
반응형
'프로그래밍 > Python' 카테고리의 다른 글
| [디자인 패턴] 싱글톤 (0) | 2022.07.05 |
|---|---|
| 파이썬으로 폴더 생성, 삭제, 복사 해보기 (0) | 2022.06.23 |
| 파이썬을 사용한 회귀(Regression) 모델 (0) | 2022.06.07 |
| 파이썬을 사용한 KNN(최근접 이웃) 구현해보기 (0) | 2022.06.06 |
| 파이썬으로 주택 매수 지수 확인해보기 (0) | 2022.06.02 |